对于复杂的样品分析,分析物与干扰化合物的分离是准确定量的必要条件;这是色谱法的主要目的。如今,反相液相色谱(RPLC)非常流行,一方面与对成分不挥发的样品的分析需求不断增加(这通常是用于药物应用的化合物的情况)有关,另一方面与该方法的强大鲁棒性和与正相色谱法,亲水性相互作用色谱法或离子色谱法相比,可以分离的溶质范围广泛。因此,用硅颗粒接枝烷基链(通常是十八烷基,C18)的HPLC/UHPLC色谱柱是迄今为止使用最广泛的。然后,使用高效液相色谱仪和C18色谱柱,化学家必须设计分离方法。
为了选择HPLC/UPLC实验参数的相关值,学生(本科或硕士学位学生)必须依靠色谱的基本概念,这些概念在许多教科书中都有广泛的介绍。然而,尽管与色谱相关的概念在教科书中都有介绍,并且色谱系统的所有元素都有很好的描述,但设计色谱方法的方法往往是缺失的。
图1显示了使用概念图表示的色谱系统元素[1],并提出了一个专注于RPLC优化的焦点问题。在此图中,运行参数之间的联系(蓝色:柱特征;绿色:流动阶段)和质量标准(橙色:分辨率和分析时间)完全缺失。在操作参数和质量标准之间没有明确的因果关系,我们观察到方法开发的成功率很低。它还会导致大量的时间损失,方法鲁棒性差,从而增加了将方法从研发实验室转移到质量控制实验室的难度。
图1

概念图致力于反相液相色谱系统的优化
如果因果关系的知识对于有效地优化分析性RPLC分离是强制性的,那么即使提供了数学关系,在教学过程中建立这些联系的方式也是一项非常困难的任务。文献中提出了一些关于图形工具的建议,以促进学习,最近发表在《化学教育杂志》(Journal of Chemical Education)上的一篇文章对这些工具进行了总结[2]。从2009年开始,在这种广泛的图形方法范围内,我们使用了一种我们称为“系统因果关系图”(SCERM)的教学策略,以促进与RPLC方法优化和故障排除相关的技能的发展。在这类图或图纸中,概念图中,与所研究过程相关的概念(在我们的例子中是RPLC)写在白板上:这些概念可以是实验参数(如流动相流速或柱长),质量标准(如色谱分辨率或分析时间),也可以是不能直接控制的所谓中间特性(如流动相速度或柱效率)。在SCERM中,概念之间的箭头用于表示这些概念之间的隐含联系。箭头的含义可以描述为:如果我们改变箭头起始端参数的值(例如,如果我们改变流量),那么位于箭头末端的参数(移动相速度)的值将被修改。通常,用箭头表示的这种联系也可以用参数之间的数学关系来描述,这种关系将与箭头相关联。相反,一个数学关系可以用一个箭头表示(或者更常见的是一组箭头)。在SCERM的制作过程中,学生必须识别物理意义的因果关系,以便绘制箭头。然而,要从他们最初的知识或一组文件中绘制这样的地图,学生们面临着另一个问题,这个问题与分析讲座和教科书中引入的关系/方程的明显多样性有关:哪个关系是相关的,如何画箭头?
为了与SCERM过程保持一致,在教授色谱时(与学士学位学生,硕士学位学生或终身学习的化学家),从而减少学生的认知过载[3],我们决定,数量之间的任何数学关系必须根据与符号“=”相关的唯一约定独家引入。无论引入何种数学关系,位于等号“=”左侧的参数必须是位于该符号右侧的参数的结果(在计算机科学中,当将计算结果分配给变量时,也使用这种类型的书写)。
对于一个高级科学家来说,写出一个数学关系并不涉及因果关系。它只是几个参数之间的关系,这种关系可以用来在其他参数已知的情况下找到一个未知的参数。一个高级科学家对隐含联系有着完美的理解,但一个学生没有,而且需要学习它们。学生可能会完全困惑,无法掌握底层的物理模型,除非我们使它们明确,这是本写作惯例和SCERM表示的目的。
为了介绍这种惯例的意义,让我们考虑三个特征变量,如柱长(L),流动相速度(u)和保持时间(tm),以及旋转变量产生的三种不同关系(a), (b)和(c):
学生们被邀请找出提供物理联系的关系(类比汽车从一个城市移动到另一个城市,可以用于速度,距离和时间)。通常,关系式(b)被立即抛弃(塔在炉内,它的长度不依赖于流动相速度和停留时间!),但对其他两个关系式的讨论总是紧随其后。是很常见的,方程(a)可以被认为是最有意义的学生,尽管关系(c)是应该被视为最重要的一个根据我们约定:贮存时间的结果列长度和流动相流速(时间从一个城市到另一个取决于汽车的距离和速度,即使我们可以计算的平均速度距离和时间去从一个城市到另一个)。一个学生对关系(A)的错误表述源于这样一个事实,即流动相速度可以通过注入一种未保留的化合物来确定,该化合物将在可测量的保持时间内离开色谱柱,并使用关系(A)中的柱长,然后可以获得速度相速度。在我们的教学方法中,方程(c),在图3中报告为3,将是我们文档中唯一写的一个。
在稍微不同的情况下,学生也会遇到与多重关系相关的困难,其中他们看到了一个参数被显示。例如,如果我们考虑流动相速度u的情况,除其他外,该参数出现在关系式(d)到(f)中:
式中B0为柱渗透率;ΔP,压降;η,粘度;F,流动相流量;di表示柱内径。学生们花了一些时间来理解流动相速度是流动相流速与柱截面的关系的结果。因此,与因果关系无关的关系(d)和(e)将永远不会在我们的文件中使用。
现在让我们考虑另一种情况,效率(N),保留时间(tr)和色谱峰的标准差(σ),通常用关系式(g)来介绍:
该关系可用于估计实验色谱的效率值。很多时候,学生认为效率N是保留时间和色谱峰标准偏差的结果,而没有意识到他/她隐含地应用了上述约定(“=”符号左侧的数量是位于该符号右侧的参数的结果)。
在许多教科书中,我们也可以找到H=L/N的关系,其中L是柱的长度,H是相当于理论板的高度。这个关系可能会让学生认为H取决于L和n,但学生也面临着众所周知的Van Deemter’s关系式H=A + B/u + C.u,其中u是流动相的速度(A、B和C分别与流道各向异性、纵向扩散和传质有关)。在这里,根据上述惯例,又有一些令人困惑的东西:H不能同时依赖于(A, B, C, u)和(L, N)。H值取决于数量(根据Van Deemter的模型,A, B, C, u),然后效率N是H和L的结果(在我们的惯例中,N=L/H)。最后,关系式(g)必须写成(h)
色谱峰的标准偏差是保留时间和柱效的结果!为什么学生的想法会发生这样的逆转呢?这是因为我们可以根据关系式(g)从实验得到的色谱峰得到效率值。
我们认为,在我们与学生使用的所有文件中使用一致的写作类型是很重要的。之后,学生可以随心所欲地对关系进行任何操作。在我们的讲座和教学实验活动中,我们努力保持一致的写作风格,这可以使学生更容易理解物理系统。
在本科或硕士阶段的几节色谱课之后,我们要求学生在等距模式下识别与RPLC相关的关键概念,并要求他们开始通过在A4页上定位概念来绘制地图(通常,我们给学生一张没有箭头的空白地图,如图2,以帮助他们组织不同的概念)。
图2

为便于表达因果关系而组织的选定的关键概念的例子
第二步,我们要求每组3-4名学生画出与他们相关的数学关系的箭头。但是只有一份图2发给了小组,所以学生们必须集体决定哪些箭头将被代表。他们所选择的关系的意义,然后在小组内深入讨论,必要时与老师讨论。
在图3中,我们总结了等距模式下与RPLC相关的一组有限关系,而在图3中,我们通过在数量之间使用箭头来明确因果关系。当然,这样的地图是基于有限的概念集合,并不是详尽的:参数是根据我们想要与学生讨论的具体目标选择的。另一方面,这张图只是学习过程中某一特定时间的知识表示,还会进一步修改。
图3

根据因果约定显示的选定关系集
作为讨论的一个例子,在图4关系10中,保留时间是保持时间和保留因子的结果。这对于见过k=tr/tm?1关系的学生来说似乎有些困惑,有时把这个方程作为保留因子的“定义”,因此更喜欢在tr和tm之间画一个箭头指向k。当然,溶质保留因子可以从实验色谱图中得到,但保留因子的增加并不是保留时间增加的结果!这是因为保留因子增加了(例如,流动相的含水量增加了,有利于向固定相分配平衡),所以保留时间增加了。
图4

反相色谱等密度分离的因果关系图
在图3和图4所示的一组关系中,有些关系是物理学的基本关系,不允许讨论。例如,在关系式(3)中,经过一段距离的时间是要经过的距离(柱体的长度)和速度的结果。
另一方面,关系(4)和(9)是与模型相关联的关系。例如,在关系式(4)中,我们决定不明确定义术语H(称为理论板上的等效高度,名称来自蒸馏理论),因为它很难用于第一级表示,我们更倾向于将H表示为依赖于以下几种现象:流动各向异性(A)、纵向扩散(B)和传质(C)与流动相速度u的关系。这仍然是一个建模选择,因此,可以选择其他关系,如Van Deemter’s、Knox’s、Golay’s、Giddings’s等。总的来说,可以看出,颗粒的直径对H值有很大的贡献,并且,根据一些近似,有可能获得数量a, B和C的合理模型,并获得关系(6)和(5),其特征是与H项的最小值相关的最佳速度(因此与关系7中色谱效率的最大值相关)。
同样,图2中没有使用保留因子k=nstat/nmob(两个阶段中每个阶段的数量之比)的定义。式(4)对应于所谓的线性溶剂-强度模型(Snyder和Dolan[4]对此进行了详细的研究),该模型对色谱仪非常有用,该模型假设保留因子的对数线性依赖于有机改性剂(强溶剂:甲醇、乙腈等)的含量。尽管该模型广泛适用于大量化合物(然而,对乙腈经常观察到轻微的偏差),但目前尚不可能知道特定有机改性剂的任何溶质的kw和S的先验值。为了优化色谱分离,有必要对这两个量进行实验测定。通过在两种不同有机改性剂含量下进行至少两次实验,通过求解式(10),可以从观察到的保留次数中得到化合物对每种有机含量的保留系数,然后通过线性回归得到所选有机改性剂对化合物的特性kw和S的值(示例见图3)。
图2中围绕“分辨率”数量的一系列箭头一开始可能也会令人困惑,但我们希望尽可能接近高斯色谱峰的分辨率定义(关系12的左侧部分,实箭头),但也要呈现所谓的Purnell关系(关系12的右侧部分,虚线箭头),这是分辨率定义和关系10和11的结果。这种关系是非常有用的,因为它更容易显示不同的保留系数和选择性对分辨率的各自影响。
如前所述,不可能存在全面的地图。每张地图根据一个焦点问题专门针对一个特定的主题[1]。新的图谱将根据教学目标绘制,我们还开发了特定的图谱来解决波段拓宽(从柱和外部效应)、气相色谱、毛细管电泳……
介绍
关系
关系和因果关系
从方程式到因果图
基本规律和模型
我们怎样才能使这张地图更进一步呢?
结论
参考文献
作者信息
道德声明
术语表
搜索
导航
#####
图3和图4可以用来设计一个合理的等等距反相分离优化流程,该流程可以通过学生自己构建的电子表格实现(完整的指令集在补充文档中提供)。对于选定的柱/溶剂对,优化等密度法需要与待分离化合物相关的保留模型的知识。正如我们所讨论的,这些模型只能通过实验来确定。在选择一个色谱柱之后,化学家选择一个比最佳流速(通过式5估计)更大的流动相流速,以节省时间而不牺牲太多的效率。假设孔隙度为65%,通过求解方程1可以计算出第一流速。注入非保留化合物,如硫脲,它是非常极性的,因此不保留在C18相上,并且很容易被紫外线检测到,将提供系统的保持时间,因此,可以通过求解式3来确定真实的速度,并且可以使用式1来确定柱的真实孔隙率。
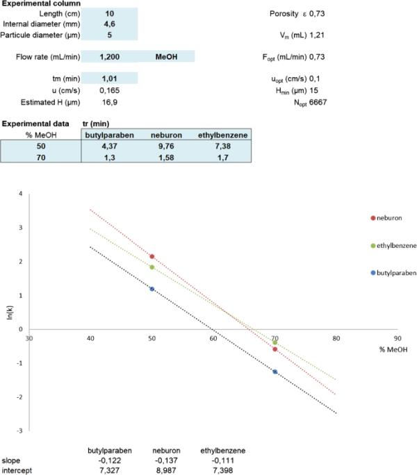
然后可以注入不同有机含量的样品,确定与每种化合物相关的保留时间——不需要知道化合物,而是能够在不同的色谱图上识别它,例如,通过它的光谱——并确定与每种化合物相关的保留模型的kw和S参数(图5)。
图5

以甲醇为有机改性剂的C18色谱柱得到乙苯、对羟基苯甲酸丁酯和尼伯隆的实验保留模型(保留因子对有机改性剂含量的对数)(在流动相中分别以70%和50%的甲醇进行了两次实验)
该图强调了色谱保留(以及选择性)强烈依赖于甲醇含量,因此,必须非常小心地选择甲醇含量。在这里讨论的例子中,这三种化合物的分离在60-65%的甲醇附近将非常困难,如果在62%的甲醇下工作,当两种化合物具有相同的保留因子(红绿曲线截距),因此具有相同的保留时间(在这种情况下选择性等于1),并且无论柱效率如何,都无法实现令人满意的分辨率(如果选择性为1,关系12,Rs=0)。混合物中的化合物越多,共洗脱的风险就越大,这就是保留模型的知识如何指导化学家选择适当的实验条件。
保留模型的知识使化学家能够估计无论流动相中有机溶剂含量如何,都可以观察到的最小分辨率。实际上,对于选定的组合物,可以计算每种化合物的保留因子k的值,以及相对于色谱柱和工作条件的保留时间和峰标准偏差。因此,可以绘制出分辨率与溶剂含量的关系图(图6),以确定能够达到所需最小分辨率的溶剂含量。
图6

色谱优化曲线:分辨率与有机改性剂含量的虚拟柱。与所选甲醇含量(这里是75%)相关的预期色谱图
最后,选择一个溶剂含量,使分析时间最短,同时保持令人满意的方法鲁棒性(在我们的例子中,溶剂含量为75%的MeOH似乎是一个相关值,如图6所示)。由于保留模型不依赖于RPLC柱的几何形状或流动相流速率,因此也可以测试其他实验条件并观察它们对所得到的色谱图的影响。例如,在图6中,改变流动相流速以达到色谱柱的最佳流动相速度。
在某些情况下,我们可能无法使用甲醇分离这组化合物。然后尝试另一种溶剂,如乙腈,建立保留模型将是相关的,因为乙腈的-C≡N基团(与甲醇的-OH基团相比)会在溶质、流动相和固定相之间产生其他类型的相互作用——在这里我们看到了Snyder分类的兴趣[5]。有了这些新模型,也许会有一种允许分离的组合……也许不是。
通过如图6所示的工具(由学生根据补充文件中提供的说明创建)进行的模拟也可用于“探索”修改一个特定操作条件的效果,一个接一个或同时进行。然而,必须非常小心,让学生意识到,在这种情况下,我们是在模型的世界里,提供了模拟的访问。在实验室中可以进行的一些实验观察结果与模型提供的模拟结果并不一致——我们之前提到过,乙腈的保留模型有时会偏离线性模型。在这种情况下,应该被拒绝的不是实验观察,而是模型不够全面,无法描述在现实世界中观察到的所有情况。
为了强调仿真的局限性,让学生自己构建仿真工具是相关的,这需要学生识别必须实现到模型中的关系。随着编程语言的发展,Python在今天非常流行,当然也可以考虑不同层次的使用:从建模ln(k)=f(%溶剂)到色谱模拟。
最后,从图3可以很容易地讨论色谱系统中的故障排除。例如,如果实验观察到溶质的保留时间增加,则可以使用图3中指向“保留时间A和B”的箭头来识别潜在的漂移源。
由于流量的变化引起的流动相速度的变化,保持时间是否发生了变化?因此,可以测量一个实验的停顿时间来检验这个假设。
留存率因素改变了吗?同样的修饰语还在使用吗?修饰语的百分比有变化吗?泵输送的溶剂成分是否正确?
色谱专家会对图3中缺少一些参数感到惊讶:温度虽然改变了分割系数,但没有出现;我们不讨论梯度,尽管它们在实验室中被广泛使用;我们看不到在UPLC中至关重要的外部色散效应的后果……这不是我们这个阶段的目的,学生可以在课堂上介绍新的概念时逐渐丰富模型!正如概念图[1]所建议的那样,一个新的SCERM必须根据我们想要解决的焦点问题来构建,这个焦点问题清楚地说明了地图应该帮助解决的问题或问题。在任何情况下,可以保留写下变量之间关系的选项,以帮助学生理解色谱法中涉及的因果关系。综上所述,我们认为系统因果关系图在教学过程中具有几个有趣的特点:SCERM基于系统方法,扩展了概念图、鱼骨图和因果环图;SCERM明确定义了独立参数、依赖标准和因果关系;SCERM使用特定但通用的方程式书写。基于此,我们在过去14年中观察到,SCERM通过明确定义概念和实验参数之间的连接网络来增强有意义的学习。因此,在故障排除或方法开发过程中,学生使用更具逻辑性和系统性的研究过程来解决问题。
下载原文档:https://link.springer.com/content/pdf/10.1007/s00216-023-04804-6.pdf
点击分享到









