流体波码通信应用于分层注水智能监测系统中,但流体瞬态流波信号传输模型尚不清楚。基于定常流动的流体能量方程,建立了智能分层注水系统中流体瞬态流动波信号传递的数学模型。该模型能较准确地描述注水井管柱中的瞬态流波传输特性。研究了地面电动控制阀和井下配水器产生的瞬态流波信号及其影响因素,揭示了信号在注水管柱中的传递机理。研究表明,地面和井下瞬态流波信号是由地面阀和井下配水器开度的变化引起的流量变化产生的。注水井管的长度对井口信号的下行传输没有影响,但对井下信号的上传有一定的影响。数值计算表明,注水管的流量对压力信号的幅值有很大的影响。较大的流量可以产生较大的信号幅值,有利于信号的传输、信号的检测和处理。通过实验和仿真验证了瞬态流波传输过程中井下和井口的压力和流量变化具有较好的一致性。研究发现,开度变化越大,瞬态流波信号幅值越大,有利于波信号的传输。阀门开度的最佳设置为\(100\% \rightleftarrows 0\%\)。该研究对流体波码通信系统的设计和性能改进具有理论指导意义。
水驱技术被广泛应用于油田提高采收率(Wu et al. 2016, 2018;Ogbeiwi et al. 2018;阮等人,2021)。分层注水注水量的准确控制是注水技术的关键问题(Almeida et al. 2007;Zhang et al. 2020)。无需地面机械操作的智能分层注水技术在国内外已逐步开展(Liu et al. 2017)。可靠、高效的无线智能测量已成为注水井领域的核心技术。其中,数据传输技术是无线智能测量技术的重要组成部分。已有报道使用声学技术在管柱中传输数据,但这些系统中严重的水和能量损失间接导致了这些现有技术的不足和低效率(Che et al. 2021)。利用瞬态流量传输信号检测管道堵塞和泄漏已经有了很多应用(xiajian et al. 2002;Yuan et al. 2015;Liu et al. 2019)。利用瞬态流波传输信号是控制注水的有效途径,为无线智能测控提供实时指导和优化。
使用瞬态流的信号传输技术已经在工程中得到了开发和演示(Cheng et al. 2018;Li et al. 2022)。众所周知,瞬态波传输信号法操作简单。此外,该技术经济高效,可以提供及时的智能测量和调整优化决策(Liu et al. 2017)。在注水过程中,管柱可以看作是一根垂直的空心管。利用机械装置在井底产生瞬态流波,并对流波信号进行编码。然后,波形信号通过管柱传输,在井口进行测量和解码。因此,利用瞬态流波可以将井下测量信息传递到井口(Qiu et al. 2022)。然而,瞬态流波的传播机制较为复杂(Hou et al. 2021)。许多学者对瞬态流波信号的传播机制和编码方法进行了研究(Afshar and Rohani 2008;Kandil et al. 2020)。然而,由于信号在管柱中的传输受多种因素的影响,暂态流波信号的传输机制需要进一步研究。有必要寻找更好的数学模型来描述瞬态流波的传输过程和特性。该模型能更准确地描述注水井管柱中的瞬态流波传输特性。
在长距离输送和阀门运行中,瞬态流波特性是非常重要的。因此,为了防止阀门开关误操作,确保管道和泵的安全,进行了大量的实验和数值研究(Wu et al. 2015;Garg和Kumar 2020;Urbanowicz et al. 2021)。基于不同的压力瞬态响应,开发了相应的算法并应用于堵塞或泄漏检测(Haghighi和Shamloo 2011;Fu et al. 2021)。这些研究有助于了解瞬态流波的传输特性。然而,井筒系统的水锤响应特征与管道系统的水锤响应特征不同。因此,需要通过实验和数值研究来解释井筒系统中的瞬态流波响应特征。Wang et al. (Wang et al. 2008)研究了注水器内的瞬态流波信号,并通过实验验证了水锤传播模型。Choi等人(Choi and Huang 2011)利用OLGA模拟对不同设计参数和操作参数下的注水井水锤效应进行了全面研究。瞬态流波传输特性更为复杂。将压力和流量两种方法结合起来,有助于更好地理解复杂系统中瞬态流波的传输。
本文建立了智能分层注水系统中流体瞬态流动波信号的传输数学模型,研究了相关参数对波信号传输的影响。同时,充分展示了井筒系统的瞬态流动传输特性,从而准确地研究了瞬态流波在井筒系统中的传输。首先,通过数值计算分析了流量对注水管柱内瞬态流波的影响。其次,通过仿真和实验验证了瞬态流波信号在注水管柱中的传输特性。瞬态流波信号的传递是由注入管柱内流量的变化引起的。第三,通过实验验证了瞬态流波传输过程中井下和井口的压力和流量变化具有良好的一致性。因此,可以选择瞬态流波信号进行井下和井口信息传递。该研究为利用瞬态流波进行智能测量和调节提供了清晰的思路,提高了井下无线智能注水的精准控制。利用该模型对注水参数进行优化,有利于提高分层注水效果,实现对注入速度的更精确控制。因此,该研究可以提高油田的采收率。
如图1所示,单井注水管道分为地面和井下两部分。该模型已在作者的论文(Li et al. 2023)中进行了解释。地面管道起于配水室,止于井口。井下管道从井口开始,止于油管底部的止回阀。井下管路由注水井、封隔器和配水器组成。封隔器将各注入层分隔开,配水器通过水喷嘴的开关实现与油套环空的连通和闭合,控制各层的注水速度。
图1

典型单井注水管道结构图
为了实现下井的地面控制命令,地面阀根据控制代码的要求,通过改变阀门开度,使注水井的流量发生脉冲式变化。这会导致井口压力和井下分配器电动控制阀入口压力的变化,后者会向分配器控制电路发送指令,指示改变水喷嘴的流量或准备上传井下数据。为了上传井下数据,分水器控制电路根据编码数据形成的电压脉冲,控制电动控制阀的开度,改变水嘴流量。这会引起注水管流量的变化,进而引起配水器电子控制阀入口压力和井口压力的变化。将各个配水阀的开度、压力和喷嘴流量等信息传递给地面。利用电动控制阀开度调节流量来改变井口和井下压力,实现地面控制命令和井下数据的双向无线传输,称为液波码通信。
基于典型单井注水管道结构,建立了喷嘴可调分层注水系统的水力理论模型,如图2所示。该模型包括两个注水层,每个注水层配备一个节流喷嘴。该模型基于流体伯努利方程,并假设水是一种恒定流动的不可压缩流体。
图2

分层注水水力模型示意图
由于地层压力差较小,假设为。两个井下分布器形成平行管道,每个分布器的流量分别为和。当某一配水器电动控制阀的开度改变时,会影响另一配水器管路的流量,造成管路流量的重新分布。根据管道并联网络方程,有。
因此,则各配水器管路的流量为:
(1)
其中i=1,2。是由配水器电动控制阀造成的局部压力损失。是阀腔的截面积,是阀腔的内径。是配水器电动控制阀的阻力系数,是电动控制阀的开度,是阀门孔的流量截面积,是阀门开度的最大流量截面积。是水喷嘴的压力损失,是喷嘴阻力系数,是喷嘴的横截面积,是喷嘴的直径。
各配水管道的流动阻力为。平行线流动阻力为,则注水系统整体管路的总流动阻力为:
(2)
在地下注水管道与地层压差不变的情况下,当配水器电动控制阀开度发生变化时,并联管道的流动阻力会发生变化,导致注水管道流量变化如下:
(3)
数值计算表明,分配器数量越多,分配器阀门开度变化对管道总流量的影响越小。
该模型基于流体伯努利方程(Moradi et al. 2020),并假设水是一种恒定流动且不可压缩的流体。假设流体处于湍流状态,通过分析管道a-剖面的流体参数(图2),建立伯努利方程,得到:
(4)
式中,和d1为水管截面积和内径。、、d2为接地电动控制阀出口截面积和内径。,为地下水管道阻力系数,为地下水管道流体雷诺数(Kargarpour 2019)。为地下水管道局部压力损失,为地下水管道局部总阻力系数。是地面电动控制阀的局部压力损失,是地面电动控制阀的阻力系数,是阀腔的截面积,是阀腔的内径,是阀孔的最大流量截面积,是电动控制阀的开度,是阀孔的流量截面积。为流体收缩系数。由于,则式(4)可转化为:
(5)
接地阀开度影响注射管流量。当电动控制阀从一个开度增加到另一个开度时,注射管流量由Q1增加到Q2,地阀出口流量变化如下:
(6)
地阀出口压力变化(信号幅值)如下:
(7)
由式(7)可知,地面电动控制阀开度变化引起的流量变化产生井口压力信号。
假设每个分水器内的流体处于湍流状态。通过对注水井管c-c剖面流体参数的分析(图2),建立了从地面到井下分布器1电控阀入口的伯努利方程(8),即:
(8)
式中,和为注水管截面积和内径。为配水器1偏置管的流量,为配水器1偏置管的截面积。是偏移的管道直径。为沿注水管的压力损失,为注水管的摩擦系数,为注水管内流体的雷诺数。
假定井深为。由于分布器数量为2,根据每条分布器线路的流量分布,第一层的流量为,则:
(9)
当地阀开度增大时,根据质量守恒理论,注射管的流量从增大到。地阀出口流量变为,则井下配水器电动控制阀进口流量变化(信号幅值)为:
(10)
地阀出口压力由至增加,压力变化为,使井下分配器电动控制阀进口压力变化(信号幅值)为:
(11)
由式(11)可知,地阀开度的变化引起注水管流量的变化,进而诱发井下压力信号的产生。这可以看作是信号的传输。信号下载的传递函数为:
(12)
假设流体处于湍流状态,通过分析第一层d-d型线流体参数建立伯努利方程(图2),得到:
(13)
其中为喷嘴流量。既然,那么,
(14)
假定地层压力恒定,地面电动控制阀全开。水分配器1电动控制阀开度改变,另一水分配器电动控制阀开度不变。当配水器1的开度减小时,电动控制阀的阻力系数为,该配水器喷嘴的流量为。井下配水器1电动控制阀入口处产生的流量变化(信号幅值)如下:
(15)
井下配水器1电动控制阀入口产生的压差(信号幅值)如下:
(16)
式中为配水器1电动控制阀开度变化前的水喷嘴流量,为配水器1开度变化前的注水管流量。是水分配器电动控制阀开度变化后的水喷嘴流量1。为配水器1开度变化后注水管的流量,表示为:
(17)
式中为配水器1电动控制阀的阻力系数,为配水器1电动控制阀在开度改变前的阻力系数,为配水器1电动控制阀在开度改变后的阻力系数。,分别为配水器1、2电动控制阀的阻力系数,
因此,喷嘴开度变化引起的注射管流量变化如下:
(18)
假设地面电动控制阀全开,只改变分布器1的电动控制阀开度,另一个配水器与配水器1具有相同的初始开度;通过对管道b-b段流体参数的分析(图2),建立注水井井口至地层的伯努利方程:
(19)
因此,地阀(注入井口)出口压力为:
(20)
假设地层压力一定,配水器1开度减小,其电动控制阀的阻力系数为。配水器1的喷嘴流速为,注射管流速为。则配水器1开度减小时井口流量变化(信号幅值)为:
(21)
则分布器1开度减小引起的井口压力变化(信号幅值)为:
(22)
由式(22)可知,井下配水器开度的变化引起注水管流量的变化,进而诱发井口压力信号的产生。信号上传的传递函数为:
(23)
摘要
介绍
分层注水系统水力模型
数值模拟分析
管柱瞬态流波信号实验
结论
缩写
参考文献
作者信息
道德声明
搜索
导航
#####
本文的数值计算条件为:=500 m;=30mm;=80平方米/ d;水粘度=1 mPa·s;=1000 kg/m3;=60 mm;=0.75;=30mm,=706mm2,=140mm2;=0.63;=62毫米;=3000米;=24 mm;=8 mm;=24mm,=452mm2,=50.25mm2。
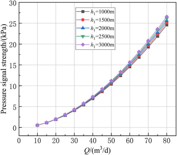
假设流体为水,则地下水管道和注管柱中流体的雷诺数Re > 2300,管内流体处于湍流状态。瞬态流波信号的幅值与流量成正比,因此流量对压力信号的影响较大。井下每个配水器的开度为50%,地面阀的开度由1增加到100%。根据式(7),地阀产生的压力信号幅值与管道流量的关系如图3所示。
图3

流量对接地阀产生的压力信号的影响
假设地面阀全开,井下分布器1的开度由50%减小到25%,其余分布器开度均为50%。由式(16)可知,分布器1产生的压力信号幅值与管道流量的关系如图4所示。
图4

流量对井下分布器压力信号的影响
由图3和图4可以看出,管道流量严重影响压力信号幅值。由于配水器喷嘴流量远小于注射管流量,且配水器的开启范围远小于接地阀,因此配水器产生的压力信号幅值远小于接地阀产生的信号幅值。注水管长度h1越大,压力信号强度越大。
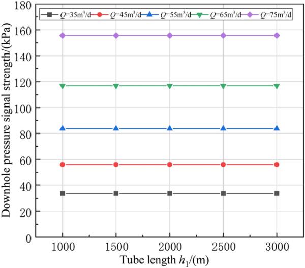
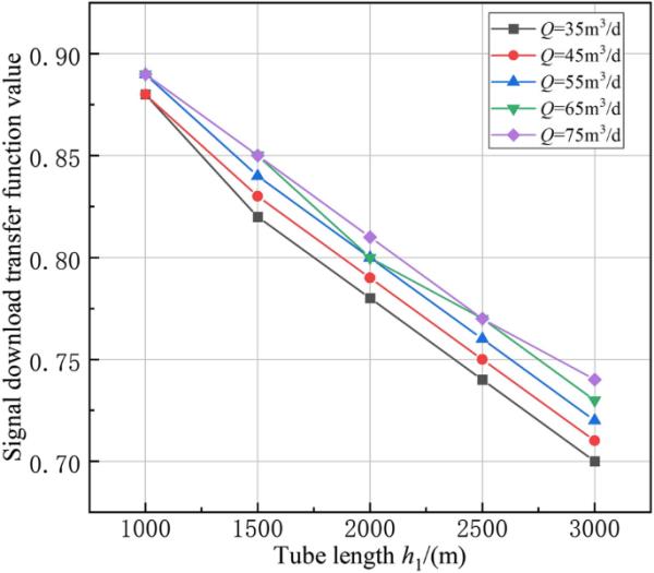
假设注入管最大流量=75m2 /d,井下各配水器电动控制阀开度为50%,地面控制阀开度由1增加到100%。根据式(11),井下传递的压力信号幅值与注水管长度的关系如图5所示。由式(12)可知,信号下游的传递函数值与管道长度有关,如图6所示。
图5

管道长度对压力信号下载的影响
图6

管道长度对压力信号下载传递函数的影响
由图5和图6可以看出,井下传递的压力信号的幅值与注入管的长度无关,说明注入管的长度对井下地压信号的传递基本没有影响。地阀产生的压力信号的幅值随着注射管长度的增加而增大,因此下游信号的传递函数值随着注射管长度的增加而逐渐减小。
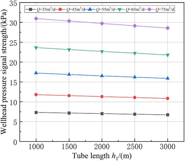
假设地面控制阀全开,注入管最大流量=75m2 /d,井下水分布器1的开度由50%减小到25%,另一个分布器的开度为50%。根据式(22),上传到井口的压力信号的大小与油管长度的关系如图7所示。由式(23)可知,信号上传的传递函数值与管的长度有关,如图8所示。
图7

管道长度对压力信号上传的影响
图8

管道长度对压力信号上传传递函数的影响
由图7和图8可以看出,上传到井口的压力信号幅值随着注入管长度的增加呈线性减小。在图7中,曲线的斜率是不同的。注水管道长度一定时,注水管道流量越大,井口压力信号强度越强。随着注射管长度的增加,信号上传的传递函数值逐渐减小。在图8中,曲线的斜率是相同的。这表明,当注射管长度确定时,随着注射管流量的定值变化,引起上传信号传递函数的定值变化。
OLGA软件是最早开发的油气混合管道流动瞬态仿真软件(Choi and Huang 2011),其仿真计算得到了世界各地著名石油公司的认可。图9为使用OLGA 2020的注水井模拟模型,其中INLET为关闭节点,SOUR-1为地下水管源起点。假设流量为1 kg/s, outlet -1和outlet -2为出口节点;bran1为地下水管道,l1=50 m;阀-1为地下水管道电动控制阀;阀-2为第一注入层配水器电动控制阀;阀-3为第二注入层配水器电动控制阀;NODE_1为注入井口节点;NODE_2为注水井第一层节点;NODE_3为注水井第二层节点,FLOWPATH_2为注水井口至第一注入层的距离,h1=1200 m;FLOWPATH_3为第一注入层水平距离,l2=10 m;FLOWPATH_4为第一注入层至第二注入层的距离FLOWPATH_4为第一注入层至第二注入层的距离,h2=200m;FLOWPATH_5为第二注入层水平距离,l3=10 m;地面电动控制阀用于控制注入水的流量,从注入管直接注入井底作用于地层。共设置9个监测点,监测注水过程中注入管和储层的压力和流量变化。其中监测点1、2、3分别位于距井口10 m、600 m、1200 m处;监测点6和7分别位于距井口1210米和1400米处;监测点4和监测点5距离NODE_2节点2 m和10 m;8号监测点和9号监测点分别距离NODE_3节点2 m和10 m。
图9

注水井模型
设置阀门1的开度变化,如图10所示。2号阀门正在打开。3号阀正在打开2号阀。当Opening1=Opening2=100%时,得到监测点流速变化如图11所示。当Opening1=50%, Opening2=100%时,得到监测点流速变化如图12所示。由图11和图12可知,监测点流量变化与VALVE-1开度变化一致,监测点峰值存在延迟。流量变化幅度的强度沿注射管传输方向逐渐减弱。阀门开启所产生的流量变化幅度大于阀门关闭所产生的流量变化幅度。阀开度的变化对流量的分布有影响。
图10

地面电动控制阀开度随时间的变化
图11

Opening1=Opening2=100%,监测点流速变化
图12

Opening1=50%, Opening2=100%,监测点流速变化
双向信号传输无线智能注水技术可以将地压脉冲应用到井下智能配水器进行部署,同时也可以将井下测试数据通过井下信号产生装置传输到地面。为了验证瞬态流波计算公式的准确性,进行了实验,如图13和图14所示。实验验证了瞬态流波在管柱中的传输特性(Ming et al. 2023)。实验条件为注水井深度1400 m,采用两层分层注水,模拟管柱长度h1从配水室(注水室)至第一层段1200 m,第一层与第二层之间的管柱长度h2 200 m。平均气温25℃。试验可以模拟地阀和井下分配器产生的瞬态流波信号,测量地阀开度变化引起的井下压力和流量的变化以及井下分配器开度变化引起的井口压力和流量的变化。
图13

两层分层注水试验示意图
图14

两层分层注水测试平台
在管子的开始处安装波发生器D1。它表示地面阀门开度变化所产生的井口瞬态流波信号。将压力传感器A1.2安装在波发生器D1附近,记录测量压力为。在波浪发生器附近安装流量计C1,并记录测量的流量为。将压力传感器A2.1安装在波发生器D2附近,将测量到的压力记录为。在波浪发生器附近安装流量计C2,记录测量的流量为。同样,在波浪发生器D3附近安装压力传感器A3.1,记录测量的压力为。将流量计C3安装在波浪发生器D3附近,并记录测量的流量为。
控制阀D1产生连续的“开-关”信号,流量恒定。第一层流速设为Q2。第二层流速设为Q3。在管道中产生稳定的瞬态流波波动,并记录,,,,和的值。本次试验共有8组工况。试验初始流量分布条件分组如表1所示。
表1试验初始流量分布条件
在智能注水中,通过地阀产生瞬态流波脉冲来调节井下智能配水器。如图15所示,先将接地阀D1开度从100调到25%,再从100调到50%。试验1 - 10条件如表1所示。在试验1中,只在第一层地层注水。地面阀D1开度的变化会引起井口和井下压力和流量的变化。地面管道流量与地面控制阀开度同步变化,井下压力和流量信号与地面控制阀开度一致。这意味着地面阀门开度改变流量形成瞬态流波,并将瞬态流波传递到井下,这与理论分析一致。通过对比发现,开度变化越大,瞬态流波信号幅值越大,有利于波信号的传递。因此,选择阀门开度的最佳设置为。可以计算出波从D1到D2的传输时间约为1.7 s。
图15
.jpg)
压力和流量波变化试验1
如图16所示,将接地阀D1开度从100调至0%。其压力和流量变化幅值较大,有利于瞬态流波的传递。同样,可以计算出波从D1到D2的传播时间约为1.7 s。可以计算出波从D1到D3的传输时间约为2.2 s。压力波波动较小,而流量波较为稳定。因此,可以选择流量信号进行井下和井口信息传递。这可以为无线智能注水提供试验依据。
图16

试验2压力和流量波动变化
如图17、18所示,将接地阀D1开度从100调至0%。当两注层注水流量不同时,压力波和流量波趋势保持一致。但当注水量较小时,流波幅值较小,流波信号强度较低。压力波振幅变化仍然较大,强度也较大。两层注水量差越大,压力变化幅度越大。例如,第二层注入5m3 /d。因此,压力波和流量波信号可以结合起来传递井口和井下信息。在试验3中,可以计算出波从D1到D2的传播时间约为2.3 s。在试验4中,可以计算出波从D1到D2的传输时间约为1.4 s。因此,两层间注水速度差越小,瞬态流波传播时间越短。
图17

压力和流量波变化试验3
图18

压力和流量波变化试验4
井下分配器喷嘴的调节信息需要及时传送到井口。因此,本节进行了暂态流波信号上传试验。如图19、20所示,第一层发电机阀D2开度也先由100调至25%,再由100调至50%。只在第一层地层注水。第一层发生器阀D2开启会导致井下和井口的压力和流量发生变化。第一层流量随流量阀(D2)开度同步变化,井口压力和流量信号随第一层发生器阀开度同步变化。压力的变化趋势与流量的变化趋势相反,随着流量的增加,压力减小。这意味着第一层发电机阀开度改变流量形成瞬态流波,瞬态流波传递到井口,这与理论分析是一致的。可以计算出波从D2到D1的传播时间约为1.9 s。与信号下载相比,相同阀门开度变化的压力和流量变化幅度较小。此外,传输时间较长。同样,在测试6中,可以计算出波从D2到D1的传播时间约为1.9 s。
图19

试验压力和流量波动变化
图20

测试压力和流量波动变化
如图21、22所示,第一层发电机阀D2开度由100调至0%。当两注水层的注入速度不同时,压力波和流量波的变化幅度不同。当注水量较小时,流波振幅较小,流波信号强度较低。两层注水量差越大,压力变化幅度越大。因此,压力波和流量波信号可以结合起来传递井口和井下信息。在试验7中,可以计算出波从D2到D1的传播时间约为1.8 s。在试验8中,可以计算出波从D2到D1的传播时间约为1.9 s。通过对比试验6、7、8,注水管的流量Q严重影响地阀和配水器产生的瞬态流波信号幅值,地阀产生的信号幅值远大于配水器产生的信号幅值。与数值计算结果一致。同样的阀门开度变化引起的压力和流量变化幅度小于下游信号传输的变化幅度。
图21

试验压力和流量波动变化
图22

压力和流量波的变化测试8
如图23、24所示,第二层发电机阀D3开度由100%调节至0%。在相同条件下,D3开度变化引起的压力和流量变化幅度大于D2引起的压力和流量变化幅度。在测试9中,可以计算出波从D3到D1的传输时间约为4.1 s。在试验10中,可以计算出波从D3到D1的传播时间约为3s。与信号下载相似,两层注水速度差越小,瞬态流波上传传播时间越短。因此,各层注水量的差异会影响瞬态流波的信号传输。
图23

测试9压力和流量波动变化
图24

压力和流量波的变化测试10
建立了智能分层注水系统中流体瞬态流动波信号传递的数学模型。通过理论分析、仿真和实验研究了流体瞬态流波在分层注水管柱中的传输特性。结果表明:
(1)
井口瞬态流波信号是由地面阀开度变化引起的注水管柱流量变化产生的;由配水器开度变化引起的喷嘴流量变化产生井下瞬态流波信号。
(2)
数值计算表明,注水管长度对地压信号的下传基本没有影响,但对井下压力信号的上传有一定影响。
(3)
通过数值计算和实验验证,注水管的流量严重影响地阀和配水器产生的瞬态流波信号幅值,且地阀产生的信号幅值远大于配水器产生的信号幅值。
(4)
某一配水器开度的改变,不仅会引起喷嘴流量的变化,还会引起其他配水器管路中流量的再分布。同时也会对注水管的流量产生一定的影响。
(5)
实验和仿真验证了瞬态流波传输过程中井下和井口的压力和流量变化能保持较好的一致性。因此,可以选择瞬态流波信号进行井下和井口信息传递。这可以为无线智能注水提供试验依据。
下载原文档:https://link.springer.com/content/pdf/10.1007/s13202-023-01658-7.pdf
点击分享到









